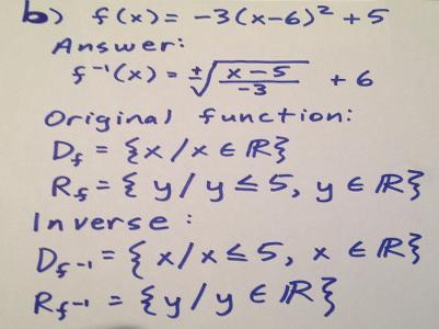
1. For each of the following questions, determine the inverse algebraically.  Then, graph the original function and the inverse, and then state the domain and range of each.


2.  For each of the following questions, restrict the domain of the function given so that the inverse is also a function.  Then, graph both the original and the inverse.