Part 1:  Determining Limits Graphically


 

 

 

 

 

 

 

 

 

 

 

 

 

 

 

 

 

Video Solution to #1 a, b and c




 

 

 

 

 

 

 

 

 

 

 

 

 

 

Video Solution to #2 a, b and c







 

 

 

 

 

 

 

 

 

 

 

 

 

 

 

 

Video Solution to #3 a, b and c





 

 

 

 

 

 

 

 

 

 

 

 

 

Video Solution to #4 a, b and c







 

Part 2:  Evaluating Limits Algebraically


 

A)  Evaluating Limits Using Factoring (When Substituting in the Value for x Leads to the Indeterminate Form of 0/0)

 

B)  Evaluating Limits through Elementary Fraction Work



C)  Evaluating Limits by Conjugating Expressions with Square Roots (Completing the Difference of Squares)



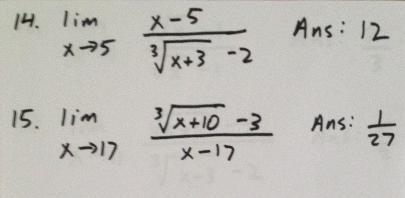
D)  Evaluating Limits by Completing the Difference of Cubes



E)  Evaluating Limits by Completing the Difference of Squares and Completing the Difference of Cubes



F)  Evaluating Limits by Completing the Difference of nth Powers



 

G)  Evaluating Limits as x goes to infinity or negative infinity



 

Part 3:  Continuity



 

 

 

 

 

 

 

 

 

 

 

Video Solution to #1


 

 



 

 

 

 

 

 

 

 

 

Video Solution to #2

 

 






 

 

 

 

 

 

 

 

 

 

Video Solution to #3






 

 

 

 

 

 

 

 

 

 

 

 

Video Solution to #4






 

 

 

 

 

 

 

 

 

 

 

 

Video Solution to #5





 

 

 

 

 

 

 

 

 

 

 

Video Solution to #6






 

 

 

 

 

 

 

 

 

 

 

Video Solution to #7